Bestimmung der lokalen Extrema
Wir bekommen dies durch die 1. Ableitung der Zielfunktion:


Dies ist möglich, da A(r) als ganzrationale Funktion differenzierbar ist.
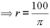
Die Extremstellen bekommt man mit den Nullstellen der 1.Ableitung.
Berechnung :
zurück