Lösungen zum Arbeitsblatt Extremwertaufgaben


Zielfunktion

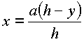
Durch das Einsetzen des Termes

ergibt sich:

(ausklammern und vereinfachen!)

zurück