Lösungen zum Arbeitsblatt Extremwertaufgaben


Bestimmung der Definitionsmenge

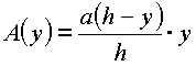
A(y) = 0 setzen

y = 0     = 0, d. h. y = h  

zurück