Lösungen zum Arbeitsblatt Extremwertaufgaben


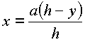
Bestimmung von x

Da gegeben ist, kann man y in den Term einsetzen.

zurück