Lösungen zum Arbeitsblatt Extremwertaufgaben


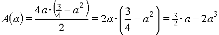
Zielfunktion

Der Flächeninhalt, den man als die Zielfunktion angibt, lautet:

zurück