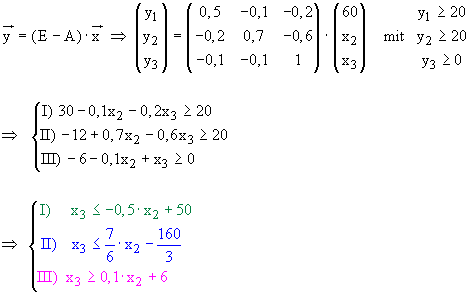
Lösung Aufgabe 10


1.
          
		  
		  
2.
          
		  
		  
3.
          
		  
          
		  
                  
		  
		  
4.