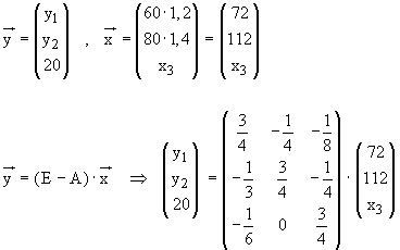
Lösung Aufgabe 3




         
		 
b)
         
         
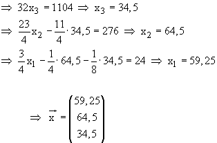
        Im Sektor C müssen 2,7 ME mehr produziert werden !