Lösung Aufgabe 7


a)
         

         


b)
         

         

                




         


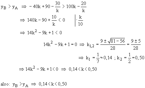
d)