Lösung Aufgabe 8


1.
        
		
        
		
2.
        
		
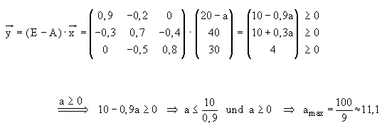
3.
        
		
         a33 gibt an, wieviele ME zur Produktion einer ME in T von T selbst benötigt werden .