11. Klasse 1. Schulaufgabe 07.12.2006
  Arbeitszeit 65 min  

 

Seminararbeit von Sabine Schreiner, Klasse 13f, Oktober 2007

 

1. Bestimme die Lösungsmenge folgender Gleichungen
 
a)   b)
 
     
     
     
2. Überprüfen Sie ob x = -2 eine Lösung der folgenden Gleichung ist.
   
     
     
     

3.

Gegeben ist der Term
   
  a) Berechnen Sie den Wert des Terms für x = 0 und für x = 1/2  
  b) Vereinfachen Sie T(x) soweit wie möglich.
     
     
     
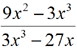
4. Kürzen Sie soweit wie möglich.  
   
 
a) b) c)
     
     
     
5. Die Schülerinnen, Maren, Lisa und Katrin bilden eine Fahrgemeinschaft zur Schule.
Da sie Marens Auto benutzen, muss diese 50 € weniger als Lisa bezahlen. Katrin war
eine Woche krank und muss deshalb 25 % weniger als Lisa bezahlen. Am Ende des
Monats betragen die Benzinkosten 280 €. Wie sind diese umzulegen?
   
     
     
6.  
   
 
a) Geben Sie jeweils einen Term für die Fläche und die Umfangslänge an und vereinfachen Sie diesen soweit wie möglich.
     
 
b) Sei nun a = 5 cm. Bestimmen Sie b so, dass der Flächeninhalt des
Trapez 57 cm² beträgt.